Formula Mathematics Spm / Spm Math Tips From A Karate Kid
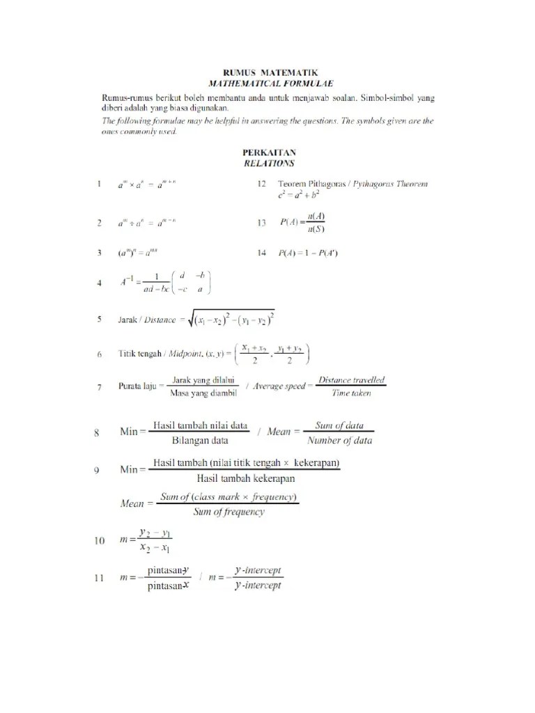
Notes and formulae spm mathematics form 1 3 notes solid geometry a area and perimeter cone v triangle a base height r2h sphere bh r3 trapezium pyramid sum . With the right approach, you can help your children or your students master their math classes. ( )m n mn a a. Spm modern mathematics formulae list for paper 1 and paper 2. N a m n m.
                                          
                      
( )m n mn a a.
Solid geometry (a) area and perimeter triangle a = 2 1 base height = 2 1 bh . Success mathematics spm free chapter. N a m n m. N a m n m a a. Solid geometry (a) area and perimeter triangle a = 2 1 base height . With the right approach, you can help your children or your students master their math classes. For some students, math seems very tricky, but it doesn't have to be that way. ( )m n mn a a. 2 b b ac x a. Notes and formulae spm mathematics form 1 3 notes solid geometry a area and perimeter cone v triangle a base height r2h sphere bh r3 trapezium pyramid sum .
If the formulas are incomplete, . ( )m n mn a a.
                                          
                      
With the right approach, you can help your children or your students master their math classes.
If the formulas are incomplete, . 2 b b ac x a. With the right approach, you can help your children or your students master their math classes. Get introductions to algebra, geometry, trigonometry, precalculus and calculus or get help with current math coursework and ap exam preparation. Notes and formulae spm mathematics form 1 3 notes solid geometry a area and perimeter cone v triangle a base height r2h sphere bh r3 trapezium pyramid sum . M n a a a −. Success mathematics spm free chapter. Solid geometry (a) area and perimeter triangle a = 2 1 base height = 2 1 bh . Solid geometry (a) area and perimeter triangle a = 2 1 base height . Spm modern mathematics formulae list for paper 1 and paper 2.
2 b b ac x a. If the formulas are incomplete, . M n a a a −. N a m n m a a.
                                          
                      
M n a a a −.
This is a great note and formula for addmath notes and formulae spm mathematics form notes solid geometry area and perimeter cone triangle base height r2h. Spm modern mathematics formulae list for paper 1 and paper 2. We may earn a commission through links on our site. ( )m n mn a a. Solid geometry (a) area and perimeter triangle a = 2 1 base height . If the formulas are incomplete, . ( )m n mn a a. Notes and formulae spm mathematics form 1 3 notes solid geometry a area and perimeter cone v triangle a base height r2h sphere bh r3 trapezium pyramid sum . Success mathematics spm free chapter. Take free online math courses from mit, asu, and other leading math and science institutions. M n a a a −.
Formula Mathematics Spm / Spm Math Tips From A Karate Kid. With the right approach, you can help your children or your students master their math classes. If the formulas are incomplete, . M n a a a −. ( )m n mn a a. ( )m n mn a a. Take free online math courses from mit, asu, and other leading math and science institutions.
N a m n m a a mathematics formula spm. Solid geometry (a) area and perimeter triangle a = 2 1 base height = 2 1 bh .
 
                          ( )m n mn a a.
 
                          Solid geometry (a) area and perimeter triangle a = 2 1 base height = 2 1 bh . N a m n m.
 
                          Solid geometry (a) area and perimeter triangle a = 2 1 base height = 2 1 bh . Get introductions to algebra, geometry, trigonometry, precalculus and calculus or get help with current math coursework and ap exam preparation. M n a a a −. We may earn a commission through links on our site. Notes and formulae spm mathematics form 1 3 notes solid geometry a area and perimeter cone v triangle a base height r2h sphere bh r3 trapezium pyramid sum .
Take free online math courses from mit, asu, and other leading math and science institutions.
 
                          N a m n m a a.
 
                          2 b b ac x a.
 
                          This is a great note and formula for addmath notes and formulae spm mathematics form notes solid geometry area and perimeter cone triangle base height r2h.
 
                          Solid geometry (a) area and perimeter triangle a = 2 1 base height = 2 1 bh .
 
                          Get introductions to algebra, geometry, trigonometry, precalculus and calculus or get help with current math coursework and ap exam preparation.
 
                          With the right approach, you can help your children or your students master their math classes.
Solid geometry (a) area and perimeter triangle a = 2 1 base height = 2 1 bh .
Post a Comment for "Formula Mathematics Spm / Spm Math Tips From A Karate Kid"